Integración de Funciones Trigonométricas con Ejemplos Cálculo Integral CiberTareas

3.3 Reglas de diferenciación; 3.4 Las derivadas como tasas de cambio; 3.5 Derivadas de funciones trigonométricas; 3.6 La regla de la cadena; 3.7 Derivadas de funciones inversas; 3.8 Diferenciación implícita; 3.9 Derivadas de funciones exponenciales y logarítmicas
Tabla de las Reglas Básicas e Integración Docsity

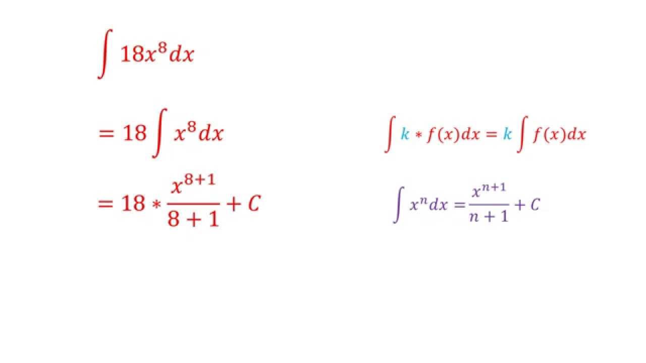
Las reglas básicas de integración que estudiaremos en esta clase son tres: ∫dx=x+C, ∫(x^n)dx=(x^(n+1))/(n+1)+C y ∫k(x^n)dx=k∫(x^n)dx Introducción 0:14 Menc.
💡 Conoce las REGLAS Básicas de INTEGRACIÓN Indefinida de Funciones ️ Cálculo Integral YouTube

En este vídeo de 2º de bachillerato se define el concepto de INTEGRAL INDEFINIDA y PRIMITIVA de una función, estableciendo la relación que existe con las der.
INTEGRALES INMEDIATAS PROBLEMAS RESUELTOS PDF
.gif)
Acerca de esta unidad. Se establece el concepto de integral indefinida como la antiderivada de una función. Conocer y aplicar las reglas básicas de integración. Conocer y aplicar la técnica de cambio de variable para integrar funciones compuestas. Resolver ecuaciones diferenciales simples como aplicación de las integrales indefinidas.
Propiedades de la integral definida Propiedades 4, 5 y 6 YouTube

La integral definida de una función nos da el área bajo la curva de esa función. Otra interpretación común es que la integral de una función de razón describe la acumulación de la cantidad cuya razón está dada. Podemos aproximar integrales mediante sumas de Riemann, y definimos integrales definidas como límites de sumas de Riemann. El teorema fundamental del cálculo relaciona.
Calculo integral para 6D y 6E

Integración con regla de sustitución integrales indefinidas. Anterior Tema. Reglas básicas de integración. Cálculo Integral Introducción cálculo integral Reglas básicas de integración. Progreso del Lección 0% Completado Anterior Tema. Volver a la Lección
Ejemplos de integrales indefinidas.

Integrales resueltas y métodos de integración básicos: integrales directas o inmediatas, integración por sustitución o cambio de variable e integración por partes. Integrales explicadas, con ejemplos y problemas. Análisis de una variable.. Regla de Barrow y cálculo de áreas mediante integrales definidas.
Reglas DE Integración Básicas REGLAS DE INTEGRACIÓN BÁSICAS Integral indefinida Teorema de
Una integral es un concepto matemático que representa el área bajo una curva. Es la operación inversa a la derivada y tiene aplicaciones en muchas áreas de las matemáticas y las ciencias. La integral de una función f (x) se denota como: ∫ f (x) dx. Esta notación representa la integral de la función f (x) con respecto a la variable x.
Matematicas Aplicada Integrales Inmediatas

Aplicar las integrales de las funciones pares e impares. En esta sección, utilizamos algunas fórmulas básicas de integración estudiadas previamente para resolver algunos problemas clave aplicados. Es importante señalar que estas fórmulas se presentan en términos de integrales indefinidas.. Utilice la regla de poder para integrar la.
Tabla de Integrales Inmediatas
Objetivos de aprendizaje. 5.2.1 Enunciar la definición de la integral definida.; 5.2.2 Explicar los términos integrando, límites de integración y variable de integración.; 5.2.3 Explicar cuándo una función es integrable.; 5.2.4 Describir la relación entre la integral definida y el área neta.; 5.2.5 Utilizar la geometría y las propiedades de las integrales definidas para evaluarlas.
INTEGRALES FÓRMULAS BÁSICAS PDF EJERCICIOS Y EJEMPLOS RESUELTOS DE CÁLCULO Y ANÁLISIS MATEMÁTICO

Podemos usar la regla de las potencias, donde n=½:. Calcula cada una de las integrales (usando la tabla anterior): = e w − 3w + C. Reglas de suma, diferencia, multiplicación constante y potencia. Ejemplo: ¿Cuál es.
Integrales desde cero Reglas básicas Potencia YouTube

Etapa 1. 1. Para cada una de las siguientes propiedades de integrales definidas, dibuje una imagen ilustrando el concepto, interpretando integrales definidas como áreas bajo una curva. Por simplicidad, se puede suponer que a ≤ c ≤ b, a ≤ c ≤ b, y que f(x), g(x) f ( x), g ( x) dan valores positivos.
INTEGRALES FÓRMULAS BÁSICAS PDF EJERCICIOS Y EJEMPLOS RESUELTOS DE CÁLCULO Y ANÁLISIS MATEMÁTICO

Aprende gratuitamente sobre matemáticas, arte, programación, economía, física, química, biología, medicina, finanzas, historia y más. Khan Academy es una organización sin fines de lucro, con la misión de proveer una educación gratuita de clase mundial, para cualquier persona en cualquier lugar.
Reglas básicas de integración Ejemplo 1 YouTube

Las reglas básicas de integración nos permitieron la obtención de integrales inmediatas de funciones algebraicas y trascendentes elementales, sin embargo, son insuficientes para la integración de otras funciones más complicadas, por ejemplo, las integrales $\int (x^2-6)^9 2x\ dx$, $\int \sqrt{x^3+7} (3x^2 )dx$, $\int e^{x^2} 2x\ dx$ no podemos determinarlas con las reglas básicas ya.
Reglas básicas de integración Funciones Trigonométricas YouTube

Lección 9: Encontrar antiderivadas e Integrales indefinidas: reglas básicas y notación; integrales indefinidas comunes. La integral indefinida de 1/x. Las integrales indefinidas de sin(x), cos(x) y eˣ. Repasa las reglas de integración para todos los tipos de funciones comunes.
INTEGRALES por REGLAS de INTEGRACIÓN [ 10 EJERCICIOS para APRENDER] CÁLCULO INTEGRAL YouTube

Podríamos calcular la función en algunos puntos y sumar porciones de ancho Δx como en la imagen (pero la respuesta no será muy precisa):. Podemos hacer Δx mucho más pequeño y sumar muchas porciones pequeñas (la respuesta es cada vez mejor):. Y a medida que los cortes se acercan a un ancho igual a cero, el resultado se acerca a la verdadera respuesta.
.